
Seit Jahrtausenden erhebt sich die Cheops-Pyramide majestätisch über dem Wüstenplateau von Gizeh – ein Bauwerk, das nicht nur architektonisch beeindruckt, sondern auch zahlreiche mathematische Rätsel birgt. Trotz ihres Alters von über 4.500 Jahren fasziniert sie Forscher, Mathematiker und Ingenieure bis heute. In ihren Proportionen, Winkeln und Maßen scheinen sich Gesetzmäßigkeiten zu verbergen, die weit über das rein Bautechnische hinausgehen. Manche sehen in ihr ein Meisterwerk praktischer Geometrie, andere vermuten bewusst eingearbeitete mathematische Beziehungen wie das Verhältnis von Kreis und Quadrat, das Auftreten der Zahlen π und Φ oder der Lichtgeschwindigkeit.
Hier soll es aber über die Geheimnisse der Cheops-Pyramide hinausgehen. Auch die Besonderheiten ihrer Nachbaren, der Chefren-Pyramide und der Mykerinos-Pyramide sollen betrachtet werden, sowie die Lage andere wichtige Kultstätten weltweit.

Grundgrößen und mathematische Beziehungen der Cheops-Pyramide
Grundseite – g
= 230,36 m = 440 Königsellen → 1 Königselle = 0,52354 m
Pyramidenhöhe – h
= 146,59 m
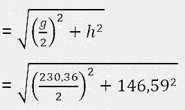
Seitenhöhe – Sh

= 186,4270 m
π = 3,14159
Φ = 1.61803
Kannten die alten Ägypter das Meter?
Die alten Ägypter haben in Königsellen gemessen. Aber kannten sie auch das Meter?
Die Grundseite g der Cheops-Pyramide ist 230,36 m lang oder 440 Königsellen.
Eine Königselle hat also eine Länge von 0,5236 m.
Nimmt man einen Kreis mit dem Durchmesser 1 m, dann ist der Umkreis = 3,1415 m = π.
Teilt man diesen Kreis durch 6 also π/6 erhält man 0,5236 m, was einer Königselle entspricht.
Es gilt dann auch:
π – Φ2 = 1 Königselle
3,1415 – 2,618 = 0,5236
Die doppelte Länge der Grundseite g dividiert durch die Höhe h ergibt die Kreiszahl π:
2 ∙ g : h
= 2 ∙ 230,36 : 146,59
= 3,1429
= π
Subtrahiert man von der Länge der doppelten Grundseite die Höhe, erhält man 100 π:
2 ∙ g – h
= 2 ∙ 230,36 – 146,59
= 314,13
= 100 π
Die Sichtbare Fläche (Mantelfläche) dividiert durch die unsichtbare Fläche (Grundfläche) ergibt die Goldene Zahl Φ:
Mantelfläche

= 85890,6474 m2
Mantelfläche dividiert durch die Grundfläche:
= 85890,64744 : 230,362
= 1,61857
= Φ
Für die Goldene Zahl Φ gilt:
Φ + 1 = Φ2
Φ – 1 = 1/Φ
Die Länge der doppelten Grundseite dividiert durch die absolute Höhe ist gleich Φ2
2 ∙ g : absolute Höhe
= Φ2
2 ∙ 230,36 : (146,59 + 29,318)
= 460,27 : 175,908
= 2,619
= Φ2
Die Lichtgeschwindigkeit in der Cheops-Pyramide:
Subtrahiert man vom Außenkreis der Grundfläche den Innenkreis der Grundfläche erhält man die Lichtgeschwindigkeit c.
Innenkreis:
Ui
= 723,69728 m
Außenkreis:
Ua
= 1023,46251 m
Ua – Ui
= 299, 765 234 m
Lichtgeschwindigkeit
c
= 299 792 458 m/s
Die Stecke der Erdrotation pro Sekunde am Äquator findet man auch in der Cheops-Pyramide
Die doppelte Kantenlänge der Cheops-Pyramide entspricht der Strecke, welche die Erde in einer Sekunde am Äquator zurücklegt.
2 ∙ g
= 460,66 m
tatsächliche Strecke
= 463 m
Das bedeutet eine Abweichung von 1,005 %
Die Lage der Kammern und deren Größe
Königskammer:
oberster Punkt der Königskammer (mit Entlastungskammer)
= 73,30 m
= h/2
Deckenhöhe der Königskammer in der Pyramide
= 48,84 m
= h/3
Größe der Königskammer:
Länge = 10,47 m
Breite = 5,24 m
Höhe = 5,85 m
Boden der Königskammer in der Pyramide
= 48,84 m – 5,84 m
= 43 m
Königinnenkammer:
Höhe der Königinnenkammer in der Pyramide (mit Entlastungskammer)
= 36,64 m
= h/4
Boden der Königinnenkammer
= 20,94 m
= h/7
Länge = 5,75 m
Breite = 5,23 m
Höhe = 6,27 m
Felsenkammer:
Lage in der Pyramide
= -29,34 m
= – h/7
Länge = 14 m
Breite = 8,1 m
Höhe = 3,5 m
Die Goldene Zahl Φ und π in der Königskammer

Bildquelle: https://neue-physik.de/ph_img/j57702.jpg
Die Länge der Königskammer mit 10,47 m
= 4 ∙ Φ2
Die Breite der Königskammer mit 5,24 m
= 2 ∙ Φ2
Die Diagonale des Rechtecks a ∙ b
![]()
= 7,8536
3 ∙ Φ2
= 7,8540
Die Raumdiagonale
![]()
= 13,0881
5 ∙ Φ2
= 13,0901
Es gilt:
U1 = 2 x Länge + 2 x Breite
= 2 x Länge + 2 x Breite
= 2 x 10,47 + 2 x 5,24
= 31,42
= 10 π
U1 – Breite
= 31,42 – 5,24
= 26,18
= 10 Φ2
Über die Verteilung alter Kultstätten und ihrer besondere Lage zueinander
Auf unserem Planeten – der Erde – gibt es viele verschiedene Kultstätten. Einige von diesen liegen auf einem etwa 100 km breiten und die Erde umspannenden Streifen. Dazu gehören die Osterinsel mit den Moai, Paracas mit dem Kandelaber, Nazca mit den Nazca-Linien, Cusco, Sacsayhuaman, Ollantaytambo, Machu Picchu und Gizeh mit den Pyramiden. Es gibt noch einen zweiten Streifen der Kultstätten. Auf diesem liegen die Pyramiden von Teotihuacan in Mexico, Mohenjo-Daro in Pakistan und die Pyramiden von Shen-Hsi in China.
Jetzt könnte man meinen, dass die Tatsache, dass diese Kultstätten alle auf einem Streifen liegen schon erstaunlich genug sei, doch es geht noch weiter ins Unglaubliche, was man erkennt, wenn man die Entfernungen einiger Kultstätten zueinander vergleicht.
Entfernungen zueinander (beruhend auf Daten von ChatGPT)
Gizeh – Nazca ↔ Gizeh – Teotihuacan
12351 km ↔ 12327 km
Angkor Wat – Nazca ↔ Mohenjo-Daro – Osterinseln
17800 km ↔ 17700 km
Osterinseln – Gizeh = 16161 km = 10 x Φ
(Angkor Wat – Gizeh) x Φ ↔ Gizeh – Nazca
7620 x 1,61 ↔ 12351
12329 ↔ 12351
Warum haben die Pyramiden von Gizeh die Größe, die sie haben?
Es gibt die Idee von Dr. Hans Jelitto, dass die Pyramiden von Gizeh genau die Größe haben, die sie haben, damit folgende Relationen gelten:

Wenn diese Beziehungen gelten, dann bilden die Pyramiden von Gizeh ein Abbild der inneren Planeten des Sonnensystems mit Bezug auf die Sonne. War das dann gewollt?
Erklärung der Größen:
Die Cheops-Pyramide symbolisiert die Erde.
Sie hat eine Grundseitenlänge von 230,36 m und eine Höhe von 146,59 m.
Ihr Volumen beträgt 2592968,434 m3.
Die Chefren-Pyramide symbolisiert die Venus.
Sie hat eine Grundseitenlänge von 215,2 m und eine Höhe von 143,5 m.
Ihr Volumen beträgt 2215211,413 m3.
Die Mykerinos-Pyramide symbolisiert den Merkur.
Sie hat eine Grundseitenlänge von 102,2 m und eine Höhe von 65,5 m.
Ihr Volumen beträgt 228045,6733 m3.
SCheops steht für die Grundseite der Cheops-Pyramide mit einer Länge von 230,36 m.
SChefren steht für die Grundseite der Cheffren-Pyramide mit einer Länge von 215,2 m.
VErde steht für das Volumen der Erde und ist gleich 1,08678 ∙ 1012 km3.
VVenus steht für das Volumen der Venus und ist gleich 0,91613 ∙ 1012 km3.
VSonne steht für das Volumen der Sonne und ist gleich 1412260 ∙ 1012 km3.
Der Aphel eines Planeten meint den Punkt auf seiner Umlaufbahn um die Sonne, auf dem er von der Sonne am weitesten entfernt ist. Der sonnennähst Punkt heißt Perihel.
AErde steht für den Aphel der Erde mit 152.100.000 km zur Sonne.
AMerkur steht für den Aphel des Merkur mit 69.800.000 km zur Sonne.
Eine Lichtsekunde ist die Entfernung, die das Licht in einer Sekunde zurücklegt. Das sind 299.792.458 m.
Berechnungen zur Prüfung der Relationen 1 – 3:
zu 1:

zu 2:

zu 3:

Die ägyptischen Erbauer der Pyramiden hatten nach heutigem Forschungsstand der Ägyptologie keine Kenntnis von den Zahlen π und Φ. Auch war ihnen unbekannt, dass die Erde eine Kugel ist. Es ist also zu bezweifeln, dass sie die Lichtgeschwindigkeit kannten. Auch die Aphel-Distanzen der inneren Planeten sollte ihnen nicht bekannt gewesen sein. Die Entfernungen und Beziehungen der großen Kultstätten der Menschheit zueinander dürften ihnen ebenfalls unbekannt gewesen sein. Gebaut haben sie die Pyramiden mit Kupfermeißeln und Holz- und Steinwerkzeugen. Einen rechten Winkel haben sie mit einer Schnur bestimmt, in der 12 Knoten in gleichmäßigem Abstand platziert waren (Erstes Pytagoräisches Tripel 32 + 42 = 52).
Dann sind die mathematischen Ähnlichkeiten, die oben aufgezeigt wurden, nur Zufall?
Alles nur Zufall!?



